서 론
전 세계적으로 노인인구는 2019년 약 5,700만 명에서 2050년에는 1억 5,300만 명을 넘어설 것으로 예측되며, 인구 고령화에 따라 치매 유병률 또한 급격하게 증가하고 있다(GBD 2019 Dementia Forecasting Collaborators, 2022). 국내의 경우, 전국 65세 이상 추정되는 치매 환자 수는 2019년에는 약 79만 명, 2030년에는 136만 명, 2040년에는 220만 명, 2050년에는 300만 명을 넘을 것 으로 예상된다(National Institute of Dementia, 2022).
치매는 점진적인 기억력 소실로 인한 주의력, 기억력 및 계획능력, 조직화, 문제해결능력, 추상능력 등 인지 기능의 감소와 행동학적 장애를 유발한다(Caselli et al., 2006). 치매에 대한 재활은 증상 악화를 예방하고 남아 있는 기능을 강화하여 인지 기능과 일상생활을 유지하는 것을 목표를 둔다(Kim, 2006). 치매환자의 인지 기능의 감소를 위해 회상 치료나 인지 재활 프로그램 등 반복적 인 인지 훈련이 제공되어 왔으며, 2000년대 이후부터는 컴퓨터를 활용한 인지 평가와 인지 재활 치료가 제공되었 으며, 이와 관련된 연구들이 진행되기 시작했다(Oh et al., 2003; Park et al., 2009).
컴퓨터를 활용한 인지 재활은 치매환자의 주의 집중력 과 기억력 등 인지 기능 향상과 일상생활활동 수행 능력 (Activities Of Daily Living; ADL)의 향상에 효과적이 었다(Jeong et al., 2010; Oh et al., 2003). 뿐만 아니 라 가상현실을 이용한 재활치료도 치매환자의 인지 기능 과 삶의 질을 향상시키고 우울을 감소시키는 것으로 나타 났다(Moon et al., 2014; Park & Shin, 2016). 컴퓨터 와 가상현실을 이용한 재활치료 외에도 디지털 회상도 치매환자의 우울을 유의하게 감소시키는 것으로 나타났 다(Moon & Park, 2020).
2022년까지 식약처의 허가 과정을 통해 승인된 디지 털 치료기기는 없었지만 디지털 헬스 영역 내에서 컴퓨터 기반 애플리케이션, 가상현실 등 디지털 기술을 이용한 재활치료는 2000년 초기부터 현재까지 꾸준히 제공되고 있다(Park & Seok, 2022; Sim et al., 2022). 본 연구에 서는 디지털 헬스 영역 내에서 재활치료에 적용되고 있는 디지털 치료기기의 범주를 포괄적으로 정의하고자 ‘디지털 헬스를 이용한 재활치료’라는 용어를 사용하고자 한다.
치매환자를 대상으로 디지털 헬스를 이용한 재활치료 의 효과를 알아본 선행 연구에서는 인지 기능, 우울, 일상 생활, 삶의 질 등을 종속변수로 설정하였다. 치매 질환은 인지 기능의 지속적인 저하와 우울, 불안 등으로 일상생 활과 사회생활에도 어려움을 초래한다(Cerejeira et al., 2012; Lee et al., 2022). 따라서 대부분의 선행연구에 서 인지 기능, 우울, 일상생활활동, 삶의 질을 종속변수로 중재의 효과를 확인한 것으로 고려된다. 치매 분야에서 디지털 헬스를 이용한 재활치료의 적용이 증가되고 있지 만, 임상적 효과가 상이하며 효과를 종합적으로 비교하 거나 평가한 연구는 미비한 상황이기에 효과를 통합하고 분석할 필요가 있다(Cho, 2022).
디지털 헬스를 이용한 재활치료의 등장으로 병원 시스 템과 보건, 의료 서비스의 변화에 어떤 프레임을 가지고 접근해야 하는지에 대한 연구가 재활 관련 종사자에게 제공될 필요가 있다(Kim, 2021). 치매환자를 대상으로 디지털 헬스를 이용한 재활치료에 대해 종합적으로 분석 한 선행연구로 가상현실 재활치료, 전산화 인지재활에 대한 체계적 고찰이 이루어졌다(Ju, 2020; Lee et al., 2017). 체계적 고찰이 이루어진 개별 논문의 질적 수준 이 다양했으며, 중재에 대한 연구 경향만을 파악하였다. 가상현실을 이용한 중재에 대한 메타분석이 이루어졌지 만, 디지털 헬스를 이용한 재활치료의 효과로 일반화하 기에 무리가 있다(Baek, 2021). 따라서 본 연구는 치매 환자를 대상으로 디지털 헬스를 이용한 재활치료에 대해 체계적 고찰과 메타분석을 실시하고자 한다.
연구 방법
1.연구 설계
본 연구는 치매환자에게 제공된 디지털 헬스를 이용한 재활치료가 인지 기능, 우울, ADL, Instrumental Activities Of Daily Living (IADL), 삶의 질에 미치는 효과를 알아본 무작위 대조군 실험연구들을 대상으로 체 계적 고찰과 메타분석을 실시하였다.
2.자료 수집 방법
2010년 1월부터 2022년 5월까지의 문헌을 대상으로 수집하였다. 국외 데이터베이스로는 PubMed, ProQuest, Cochrane library를 사용하였고, 검색용어는 “Dementia” AND (“Digital” OR “Virtual Reality” OR “IoT” OR “ICT” OR “Computer”) AND “Rehabilitation” AND “Randomized Controlled Trial”을 사용하였다. 국내 데이터베이스로는 한국학술지인용색인(Korea Citation Index), 한국학술정보(Korean Studies Information Service System), 학술연구정보서비스(Research Information Sharing Service)를 사용하였고, 검색용어는 “치매” AND (“디지털” OR “가상현실” OR “IoT” OR “ICT” OR “전 산화” OR “컴퓨터”) AND “재활” AND “무작위대조군실 험연구”를 사용하였다.
4.문헌의 질 평가 방법
최종적으로 선정된 15편의 무작위 대조군 실험연구에 대한 질 평가를 위해 Pedro scale (physiotherapy evidence database scale)을 사용하였다. Pedro scale 은 내적 타당도에 관한 11개 항목으로 구성된 평가도구 로 문헌의 질을 평가하며, 1점부터 10점까지 범위 내에 서 결과를 나타낸다(Moseley et al., 2002). 본 연구에 서는 0~3점은 나쁨, 4~5점은 보통, 6~8점은 좋음, 9~10점은 아주 좋음으로 10개 항목에 대해 평가하여 문헌의 질적 수준을 알아보았다.
5.분석방법
체계적 문헌 고찰
선정된 문헌의 일반적 특성을 알아보고자 저자, 출판 연도, 연구대상, 실험군과 대조군 중재 방법, 결과 측정도 구, 결과에 대해 분석하였다(Table 1). 또한 실험군 적용 중재에 대해 알아보고자 중재 유형과 중재에 대한 설명, 중재 제공자, 중재 장소에 대해 분석하였다(Table 2).
Table 1.
Characteristics of Included Studies
| No | Author (year) | Participants | n |
|
Outcome measures | Result | Pedro scale |
|---|---|---|---|---|---|---|---|
| 1 | Padala et al. (2012) | Mild AD | 11 | Wii-Fit program | BBS, TT, TUG, ADL, IADL, QOL-AD, MMSE | Balance (↑), gait (↑) | 5 |
| 11 | Walking program | ||||||
| 2 | Lee et al. (2013) | Early AD | 6 | Computerized errorless learning-based memory training program | MMSE, GDS, DRS, HKLLT, BAPM, MBI, HKLIADL | Cognitive (↑), functional status (↑) | 7 |
| 6 | Therapist-led errorless learning program | ||||||
| 3 | Jelcic et al. (2014) | Early AD | 7 | Lexical-semantic stimulation through telecommunication technology | MMSE, MDB, RAVL, ROCF, TMT-A/B | Cognitive (↑), language abilities (↑) | 6 |
| 10 | Face to face lexical-semantic stimulation | ||||||
| 4 | Moon et al. (2014) | Minor dementia | 15 | Virtual reality cognitive rehabilitation program | K-MMSE, MVPT, GDS-K, BBS, LLS | Cognitive (↑), visual perception (↑), depression (↓), balance (↑), lower limb strength (↑) | 7 |
| 15 | Cognition and rehabilitation program | ||||||
| 5 | Kang (2016) | Dementia (vascular, AD) | 15 | Computer-assist cognitive training | CDR, LOTCA-G, CSOA, K-IADL, GQOL-D | Cognitive (↑), IADL (↑), QOL (↑) | 7 |
| 15 | Occupational therapy | ||||||
| 6 | Park & Shin (2016) | Mild to moderate dementia | 10 | Virtual reality rehabilitation program | CDR, GDS-K, QOL-AD | Depression (↓), QOL (↑) | 7 |
| 10 | Traditional cognitive therapy | ||||||
| 7 | Yang & Kwak (2017) | Early AD | 10 | Computer based cognitive training | CDR, GDS, K-MMSE, SNSB | Language (↑), attention (↑), calculation (↑), verbal memory (↑), frontal function (↑) | 7 |
| 10 | NT | ||||||
| 8 | Byeon (2019) | Mild dementia | 21 | Computer based cognitive rehabilitation program | COWAT, MMSE-K | Semantic fluency (↑), cognitive(↑) | 6 |
| 8 | Traditional language rehabilitation | ||||||
| 9 | Karssemeijer et al. (2019) | Dementia (vascular, AD, mixed type) | 34 | Exergaming as a physical exercise strategy | EFIP, TUG, TMWT, FSTST, FICSIT-4, Katz Index, PASE, TOPICS | Level of frailty (↓), adherence rates of physical exercise (↑) | 5 |
| 34 | NT | ||||||
| 10 | Kim & Choi (2019) | Mild dementia | 16 | Computerized cognitive training | MMSE-K, SGDS-K, ELS, MBI | Cognitive (↑), depression (↓), life satisfaction (↑), ADL (↑) | 7 |
| 16 | NT | ||||||
| 11 | Lee et al. (2020) | Mild dementia | 10 | Computerized cognitive program | MoCA-K, SES, ELS | Cognitive (↑), self esteem (↑), life satisfaction(↑) | 7 |
| 10 | Cognitive integration program | ||||||
| 12 | Moon & Park (2020) | Moderate dementia | 22 | Digital reminiscence therapy | MMSE-DS, CSDD, NPI, EPWDS | Depression (↓), engagement (↑) | 6 |
| 19 | Storytelling | ||||||
| 13 | Oh et al. (2020) | Mild dementia | 20 | Dementia-care-robot integrated program | S-IADL, SGDS, RAS | IADL (↑), depression (↓), attitudes toward robot(↑) | 7 |
| 20 | TAU | ||||||
| 14 | Menengiç et al. (2021) | Mild to moderate AD | 10 | Physical exercise telerehabilitation program | MMSE, TUG, OLBT, FIM, GDS | Cognitive (↑), functional mobility (↑), ADL (↑), depression (↓) | 6 |
| 8 | NT | ||||||
| 15 | Oliveira et al. (2021) | Mild to moderate dementia | 10 | Virtual reality based cognitive stimulation | FAB, MMSE, IADL, TMT-A/B, CDT, GDS, CDR | Cognitive (↑) | 6 |
| 7 | TAU |
[i] ADL: activities of daily living, AD: Alzheimer disease, BAPM: Brief Assessment of Prospective Memory, BBS: Berg Balance Scale, CDR: Clinical Dementia Rating, CG: control group, COWAT: Controlled Oral Word Association Test, CSDD: The Cornell Scale for Depression in Dementia, CSOA: Cognitive Scale for Older Adults, DRS: Dementia Rating Scale, EFIP: Evaluative Frailty Index for Physical activity, EG: experimental group, ELS: Elderly Life Satisfaction, EPWDS: Engagement of a Person with Dementia Scale, FAB: The Frontal Assessment Battery, FICSIT-4: Frailty and Injuries Cooperative Studies of Intervention Techniques Subtest-4, FIM: Functional Independence Measure, FSTST: Five-Times Sit to Stand Test, GDS: Geriatric Depression Scale, GDS-K: Geriatric Depression Scale-Korean, GQOL-D: Geriatric Quality of Life-Dementia, HKLIADL: Hong Kong Lawton Instrumental Activities of Daily Living Scale, HKLLT: Hong Kong List Learning Test, IADL: instrumental activities of daily living, K-IADL: Korean-instrumental activities of daily living, K-MMSE: Korean-Mini Mental State Examination, LLS: lower limb strength, LOTCA-G: Lowenstein Occupational T herapy C ognitive A ssessment-Geriatric P opulation, M BI: M odified B arthel I ndex, M DB: M ental D eterioration B attery, MMSE: Mini Mental State Examination, MoCA-K: Korean version of Montreal Cognitive Assessment, MVPT: Motor-Free Visual Perception Test, NPI: neuropsychiatric inventory, NT: no treatment, OLBT: One-leg Balance Test, PASE: Physical Activity Scale for the Elderly, QOL-AD: quality of life-Alzheimer’s disease, RAS: Robot Attitude Scale, RAVL: Rey Auditory Verbal Learning test, ROCF: Rey-Osterrieth Complex Figure Test, SES: Self-Esteem Scale, SGDS: Short Form of Geriatric Depression Scale, S-IADL: Seoul-Instrumental Activities of Daily Living, SNSB: Seoul neuropsychological screening battery, TAU: treatment as usual, TMT-A/B: Trail Making Test-A/B, TMWT: Ten-Meter Walk Test, TOPICS: The Older Persons and Informal Caregivers Survey Minimum Dataset, TT: Tinetti Test, TUG: timed up and go, ↑: increased in experimental group, ↓: decreased in experimental group
Table 2.
Experimental Group Intervention-related Characteristics
[i] ADL: activities of daily living, CCT: computerized cognitive training, CELP: computerized errorless learning-based memory training program, CN: clinical neuropsychologist, CoTras: computerized cognitive training program, CoTras-G: computerized cognitive training program-group, DR: digital reminiscence, LSS: lexical-semantic stimulation, N/A: not applicable, OT: occupational therapist, PT: physical therapist, ST: speech therapist, TR: telerehabilitation, VR: virtual reality, VREHAT: virtual reality cognitive rehabilitation training system
메타분석 방법
선정된 문헌을 바탕으로 디지털 헬스를 이용한 재활치 료의 효과크기를 알아보고자 R version 4.2.0을 사용하 여 효과크기, 통계적 이질성, 출간오류 검정을 실시하였 다. 본 연구에서는 개별 연구에서 추출한 실험 전, 후 평균 과 표준편차를 이용하여 효과크기를 산출하였다. 연구의 표본이 다양하기에 표준화된 평균 차이(standardized mean difference, SMD)로 효과크기를 전환하여 95% 신뢰수준으로 값을 산출하여 forest plot을 제시하였다. 또한 무선효과모형(random-effect model)으로 효과 크기를 계산하였고, 효과크기는 0.20 이하는 작은 수준, 0.50 정도는 중간 수준, 0.80 이상이면 큰 수준으로 해석 하였다. 문헌의 이질성은 실제 분산 I2 값을 산출하여 확 인하였다. I2가 25% 이하면 작은 크기, 50%는 중간 크기, 75% 이상은 이질성이 큰 것으로 해석하였다(Higgins et al., 2019). 출간오류는 funnel plot을 통해 시각적으로 효과크기와 표준오차의 비대칭을 확인하였고, 객관적 검 증을 위해 통계적 분석으로 egger’s regression을 실시 하였다.
연구 결과
1.분석 대상 문헌 도출
7개의 데이터 베이스에서 검색된 ‘치매’와 ‘디지털 헬 스를 이용한 재활치료’ 관련 문헌 444편에서 중복 제거 110편, 제목과 초록을 검토를 통해 250편을 배제하였다. 남은 84편의 문헌의 전문을 검토하여 최종적으로 15편 의 문헌을 선정하였다(Figure 1).
2.분석 대상 문헌의 질
선정된 각 문헌의 질을 알아보고자 Pedro scale을 사용 하여 확인하였다. 그 결과, 13편의 문헌은 질적 수준이 좋음으로 나타났고, 2편의 문헌은 보통 수준으로 나타났 다. 7점이 8편(53.33%), 6점이 5편(33.33%), 5점이 2편 (23.33%)이었고, 평균은 6.4점이었다(Table 1).
3.체계적 고찰 결과
선정된 문헌의 일반적 특성
선정된 문헌의 일반적 특성에 대해 분석한 결과, 연구 대상자는 초기 치매, 경도 치매 등 다양한 단계에 속했고 알츠하이머, 혈관성, 복합성 치매 등 다양한 치매 유형의 환자로 구성되었다. 실험군은 전산화 인지재활이나 가상 현실, 원격재활, 디지털 회상치료 등 디지털 헬스를 이용 한 재활치료를 제공받았고, 대조군은 재활치료를 제공받 지 않거나 디지털 헬스를 이용하지 않은 전통적 재활치료 를 제공받았다. 개별 연구의 결과 변수로 인지 기능 12 편, 우울 8편, ADL 5편, IADL 5편, 삶의 질 5편, 균형이 나 하지능력 4편, 언어능력 2편, 시지각능력 1편이 설정 되었다(Table 1).
실험군 중재 관련 특성
선정된 문헌의 실험군 중재에 사용된 전산화 인지재활 6편(Byeon, 2019; Kang, 2016; Kim & Choi, 2019; Lee et al., 2013; Lee et al., 2020; Yang & Kwak, 2017), 가상현실을 이용한 중재 5편(Karssemeijer et al., 2019; Moon et al., 2014; Oliveira et al., 2021; Padala et al., 2012; Park & Shin, 2016), 원격 재활 2편(Jelcic et al., 2014; Menengiç et al., 2021), 디지 털 회상치료 1편(Moon & Park, 2020), 로봇 1편(Oh et al., 2020)으로 구성되었다. 치료가 제공된 시간으로 30분 이하는 9편, 30분 이상~1시간 이하는 4편이었으 며, 2편은 제시되지 않았다. 중재 제공자는 작업치료사가 5편으로 가장 많았고, 제시되지 않은 문헌이 4편이었다. 물리치료사 1편, 언어치료사 1편, 간호사 1편, 사회복 지사 1편, 임상신경심리학자가 1편으로 구성되었으며, 여러 분야의 재활관련종사자가 중재를 제공하였다 (Table 2).
4.메타분석 결과
인지 기능에 미치는 효과크기
디지털 헬스를 이용한 재활치료의 인지 기능에 대한 전체 효과크기는 중간 효과크기를 나타내는 0.30 (95% confidence interval [95% CI] = 0.07~0.54)이었고, 통계적으로 유의하였다(z = 2.51, p = 0.01). 인지 기능 에 대한 평균 효과크기 산출에서 디지털 헬스를 이용한 재활치료의 이질성 통계치는 I2 = 0% (Q = 7.22, p = 0.78)로 이질성이 작은 수준으로 나타났다(Figure 2).
우울에 미치는 효과크기
점수가 낮을수록 정상에 속하는 우울 변수는 음의 방 향일수록 효과가 있다고 해석할 수 있다. 디지털 헬스를 이용한 재활치료의 우울에 대한 전체 효과크기는 중간 효과크기를 나타내는 -0.71 (95% CI = -1.00~-0.43)이 었고, 통계적으로 유의하였다(z = -4.87, p < 0.0001). 우울에 대한 평균 효과크기 산출에서 디지털 헬스를 이용 한 재활치료의 이질성 통계치는 I2 = 0% (Q = 6.90, p = 0.44)로 이질성이 작은 수준으로 나타났다(Figure 3).
ADL에 미치는 효과크기
디지털 헬스를 이용한 재활치료의 ADL에 대한 전체 효과크기는 중간 효과크기를 나타내는 0.41 (95% CI = -0.31~1.14)이었고, 통계적으로 유의하지 않았다(z = 1.12, p = 0.26). ADL에 대한 평균 효과크기 산출에서 디지털 헬스를 이용한 재활치료의 이질성 통계치는 I2 = 72% (Q = 14.48, p < 0.01)로 이질성이 중간 크기로 나타났다(Figure 4).
IADL에 미치는 효과크기
디지털 헬스를 이용한 재활치료의 IADL에 대한 전체 효과크기는 낮은 효과크기를 나타내는 0.20 (95% CI = -0.21~0.62)이었고, 통계적으로 유의하지 않았다(z = 0.96, p = 0.34). IADL에 대한 평균 효과크기 산출에서 디지털 헬스를 이용한 재활치료의 이질성 통계치는 I2 = 13% (Q = 4.58, p = 0.33)로 낮은 수준의 이질성이 나타났다(Figure 5).
Figure 5.
Forest Plot on Effects of Rehabilitation Using Digital Health on Instrumental Activities of Daily Living
CCT: computerized cognitive training, CI: confidence interval, DR: digital reminiscence, SD: standard deviation, SMD: standardized mean difference, TR: telerehabilitation, VR: virtual reality
삶의 질에 미치는 효과크기
디지털 헬스를 이용한 재활치료의 삶의 질에 대한 전체 효과크기는 중간 효과크기를 나타내는 0.31 (95% CI = -0.07~0.68)이었고, 통계적으로 유의하지 않았다(z = 1.61, p = 0.11). 삶의 질에 대한 평균 효과크기 산출에 서 디지털 헬스를 이용한 재활치료의 이질성 통계치는 I2 = 3% (Q = 4.10, p = 0.39)로 낮은 수준의 이질성이 나타났다(Figure 6).
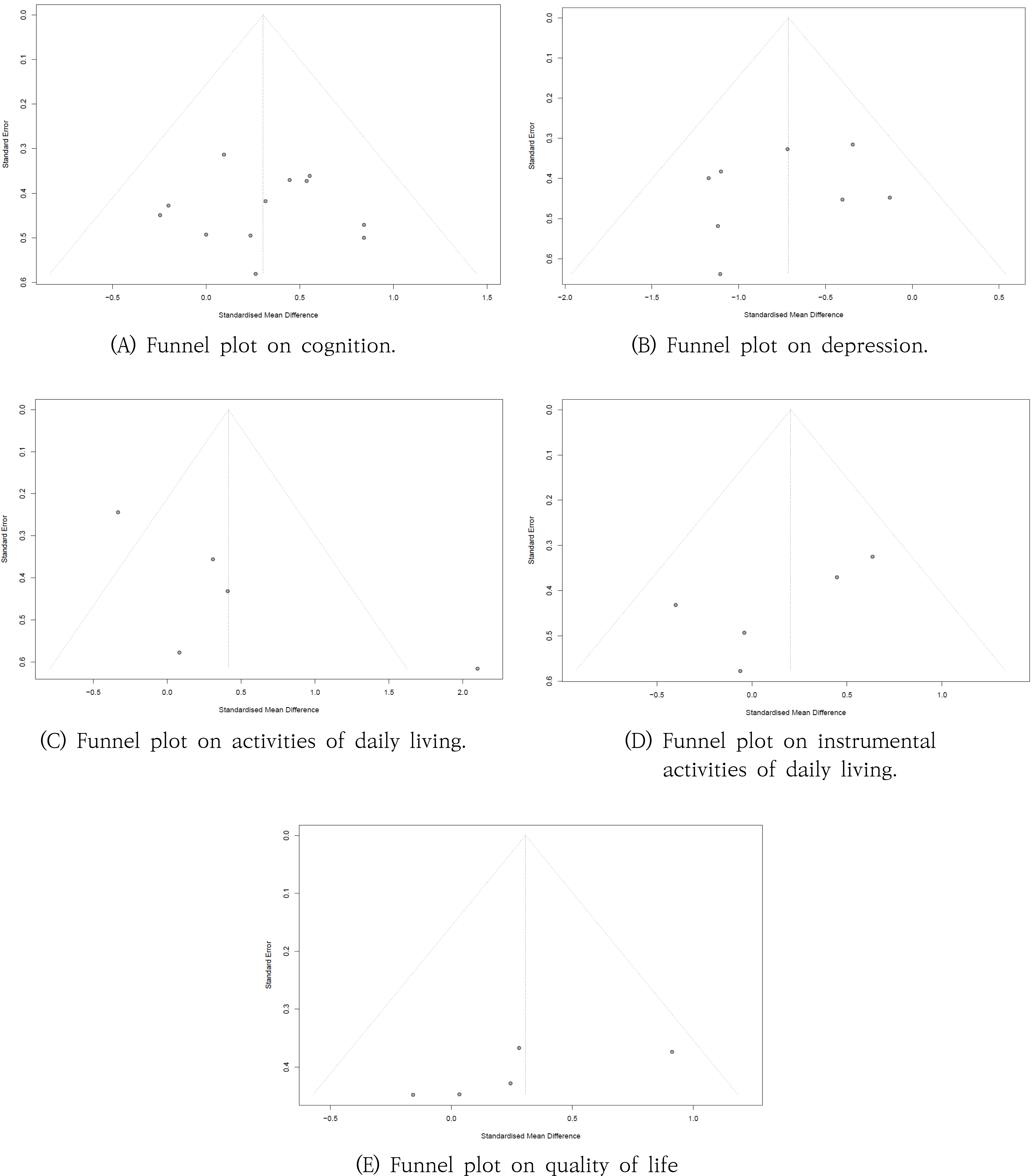
출간오류 검정
결과 변수들의 출간오류 검정을 위해 시각적으로 funnel plot을 확인한 결과 인지 기능, 우울, IADL, 삶의 질은 funnel plot 안쪽으로 골고루 분포되어 있는 것으 로 나타났다(Figure 7). 하지만 ADL의 funnel plot의 경 우, 비대칭적이었다(Figure 7 - (c). Egger’s regression 을 시행한 결과, ADL은 bias = 4.07 (t = 2.34, degree of freedom = 3, p = 0.10)로 효과크기와 표준오차의 관계가 통계적으로 유의미하지 않아 출판편향은 없는 것 으로 나타났으며, 나머지 변수에서도 통계적으로 출간오 류가 없는 것으로 나타났다.
고 찰
본 연구는 치매환자를 대상으로 디지털 헬스를 이용한 재활치료의 효과를 확인하고자 체계적 고찰과 메타분석 을 실시하였다. 2010년부터 2022년 5월까지의 문헌을 수집하였고, 최종 선정된 15편을 분석하였다. 인지 기능, 우울, ADL, IADL, 삶의 질의 효과크기를 산출하고 출간 오류를 확인하여 근거 중심의 디지털 헬스를 이용한 재활 치료 효과에 대한 분석 결과를 제시하고자 하였다.
본 연구에서 선정된 15편의 연구에서는 종속 변수로 인지 기능 12편, 우울 8편, ADL 5편, IADL 5편, 삶의 질 5편, 균형이나 하지능력 4편, 언어능력 2편, 시지각능 력 1편이 사용되었다. 치매의 증상과 경과는 초기엔 기억 장애, 중기엔 행동 및 정신장애, 말기엔 신체장애가 동반 되는 양상을 보여주며 치매의 종류에 따라 증상도 다양하 다(Oh, 2009). 이처럼 치매환자는 경과에 따라 다양한 증상이 나타나기 때문에 개별 연구들에서 다양한 종속변 수를 통해 그 효과를 알아본 것으로 고려된다. 따라서 본 연구에서는 선행연구들에서 종속변수로 많이 사용된 인지 기능, 우울, ADL, IADL, 삶의 질의 효과크기를 알 아보았다.
디지털 헬스를 이용한 재활치료가 치매환자의 인지 기 능에 미치는 효과크기를 분석한 결과, 중간 효과크기인 0.30으로 나타났고 통계적으로 유의한 효과를 보였다. 전산화 인지재활을 사용한 연구와 가상현실을 이용한 연 구에서도 인지 기능 향상을 확인하였다(Kang, 2016; Moon et al., 2014). 가상현실 기반 중재 프로그램의 메타분석에서도 치매환자의 인지 기능에 미치는 효과가 큰 효과크기로 나타났다(Baek, 2021). 선행연구들과 본 연구의 결과가 일치하며, 디지털 헬스를 이용한 재활치 료가 치매환자의 인지 기능을 향상시킨다고 할 수 있다.
우울에 대한 전체 효과크기는 중간 효과크기를 나타내 는 -0.71로 통계적으로 유의한 효과를 보였다. 이는 전산 화 인지프로그램, 가상현실, 로봇, 디지털 회상을 이용한 치료가 우울을 유의하게 감소시켰다는 선행연구와 같은 맥락으로 이해할 수 있다(Moon & Park, 2020; Park & Shin, 2016). 따라서 치매환자의 우울 감소에 디지털 헬 스를 이용한 재활치료가 효과적임을 증명한다.
ADL에 대한 전체 효과크기는 중간 효과크기(SMD = 0.41)로 나타났지만 통계적으로 유의하지는 않았다. Wii-Fit을 이용한 가상현실 중재에 관한 무작위 대조군 실험연구에서는 ADL에 유의한 영향을 미치지 않은 것으 로 나타났다(Padala et al., 2012). 하지만 전산화 인지 재활을 제공한 단일집단 사후 실험연구에서는 ADL에서 유의한 효과를 확인할 수 있었다(Jeong et al., 2010; Shon et al., 2013). 본 연구는 무작위 대조군 실험연구 만을 대상으로 한 메타분석이었으며, 다른 실험설계를 포함하지 않았기에 나타난 결과로 고려된다.
또한 ADL의 효과크기 산출에 포함된 개별 문헌의 효 과크기를 확인한 결과 1편은 음의 방향으로 나타났으며 양의 방향으로 나타난 4편 중 3편은 낮은 효과크기, 1편 은 높은 효과크기로 나타났다. 치매환자의 ADL에 디지 털 헬스를 이용한 재활치료의 효과크기가 일관적이지 않 았기에 통계적 유의성에 영향을 미쳤을 것으로 보이며, 추후에는 연구의 수를 늘려 효과크기와 통계적 유의성에 대해 살펴볼 것을 제언한다.
IADL에 대한 효과크기는 낮은 효과크기(SMD = 0.20) 로 나타났으며, 통계적으로 유의하지 않았다. 터치스크 린을 이용한 원격재활 중재와 가상현실을 이용한 인지중 재를 제공한 무작위 대조군 실험연구에서는 실험군과 대 조군 간 IADL에 유의한 차이를 보이지 않았다(Lee et al., 2013; Oliveira et al., 2021). 그러나 치매케어로봇 통합 프로그램을 제공한 무작위 대조군 실험연구에서는 실험군과 대조군 간의 유의한 차이는 없었으나 실험군에 서 일부 향상되었다고 보고하였다(Oh et al., 2020). 본 연구는 실험군, 대조군의 사전-사후검사 데이터를 사용 한 메타분석이기 때문에 나타난 결과로 보인다.
또한 IADL의 효과크기 산출에 포함된 개별 문헌의 효 과크기를 확인한 결과 2편은 양의 방향으로, 3편은 음의 방향으로 효과크기로 나타났다. ADL과 마찬가지로 아직 까지 IADL에 대한 많은 연구가 존재하지 않기에 일관되 지 않은 효과크기가 나타났고 이로 인해 통계적 검증도 유의하지 않았던 것으로 사료된다. 따라서 추후 연구에 서는 충분한 연구의 수를 바탕으로 효과크기와 통계적 유의성에 대해 확인할 것을 제언하다.
삶의 질에 대한 효과크기는 중간 효과크기(SMD = 0.31) 로 나타났으며, 통계적으로 유의하지 않았다. 본 연구에 서 삶의 질에 대해 살펴본 5편 문헌에서 실험군과 대조군 모두 유의하게 향상하였다. 그러나 메타 분석 결과 통계 적으로 디지털 헬스를 이용한 재활치료가 치매환자의 삶 의 질에 유의하지 않는 것으로 나타났다. 이는 실험군과 대조군 모두 유의하였기 때문에 나타난 통계적 검증 결과 라고 사료된다.
결과 변수들의 출간오류 검정을 위해 시각적으로 funnel plot을 확인한 결과 인지 기능, 우울, IADL, 삶의 질은 funnel plot 안쪽으로 골고루 분포되어 있는 것으로 나 타났다. 하지만 ADL의 funnel plot은 비대칭적이었다. 이는 개별 연구의 표본 수가 다르고, 효과크기가 일정하 지 않아서 나타난 것으로 보인다. 개별 변수의 funnel plot을 확인한 후, egger’s regression으로 통계적 분석 을 시행한 결과, 모든 변수에서 통계적으로 출간오류가 없는 것으로 나타났다. 따라서 메타분석에 포함된 개별 연구들의 출간오류 위험이 높지 않아 효과에 영향을 미치 지 않는다고 할 수 있다.
본 연구는 치매 질환에 대해 재활을 목적으로 적용된 디지털 헬스의 효과를 확인하고자 체계적 문헌고찰과 메 타분석을 실시하였다. 연구의 근거수준이 높은 무작위 대조군 실험연구만을 포함하였고, 최적의 통계 방법을 적용하여 연구 결과를 도출하고 디지털 헬스의 임상적 효과에 대한 신뢰성 있는 근거를 제시했다는 점에서 의의 가 있다. 또한 재활 분야에서 사용되고 있는 디지털 헬스 를 이용한 다양한 중재들을 디지털 헬스를 이용한 재활치 료로 정의하여 다양한 디지털 기술이 중재에 사용되고 있고 그 효과를 확인하였다는 측면에서 임상적 의의가 있다. 그러나 결과변수에 대한 중재 제공시간, 기간, 제공 자 등 최적의 치료조건을 확인하지 못하였다는 제한점이 있다. 또한 결과변수에 대한 연구의 수가 일정하지 않았 으며, ADL, IADL, 삶의 질에 대한 개별연구의 수가 부족 하였다. 추후 연구에선 조절효과분석을 통해 세분화된 최적의 치료조건에 대해 이루어지기를 바란다. 또한 본 연구에서 알아본 결과변수 외에 다른 결과 변수에 대해서 도 효과크기를 확인하여 다양한 증상을 보이는 치매환자 에게 디지털 헬스를 이용한 재활치료가 사용될 수 있는 근거를 마련하는 연구들이 지속되길 바란다.
결 론
본 연구는 치매환자의 인지 기능, 우울, ADL, IADL, 삶의 질을 위해 적용된 디지털 헬스를 이용한 재활치료에 대한 연구들의 중재 특성에 대해 제시하였다. 또한 메타 분석을 통해 디지털 헬스를 이용한 재활치료가 치매환자 의 인지 기능, 우울, ADL, IADL, 삶의 질에 미치는 영향 에 대하여 효과크기를 확인하였다.
본 연구에서 디지털 헬스를 이용한 재활치료는 전산화 인지재활, 가상현실 이용 중재, 원격재활, 디지털 회상, 로봇 이용 중재로 분류되었고, 중재 제공자로는 작업치 료사가 높은 비중을 차지하였다. 디지털 헬스를 이용한 재활치료가 인지 기능에 미치는 효과에 대한 메타분석 결과는 중간 효과크기였으며, 우울에 미치는 효과에 대 한 메타분석 결과는 중간 효과크기를 보였다. 따라서 치 매환자에게 디지털 헬스를 이용한 재활치료가 인지 기능 과 우울에 효과가 있음을 확인할 수 있었다.
연구 결과를 바탕으로 인지 기능과 우울의 개선이 필 요한 치매환자에게 디지털 헬스를 이용한 재활치료의 제 공이 이루어지길 바라며, 추후 연구에서는 충분한 문헌 의 수를 포함하여 치매환자를 대상으로 디지털 헬스를 이용한 재활치료 각각의 중재에 대한 효과를 분석하는 연구가 이루어지기를 바란다.
